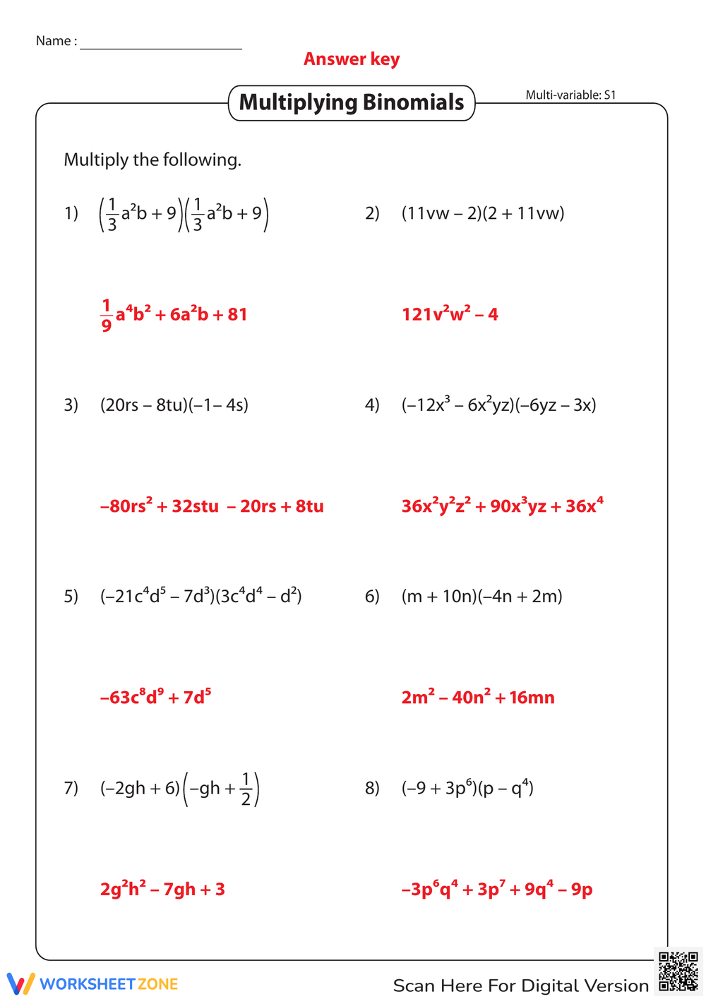
Multiplying Polynomials Worksheet

Looking for a fun and educational way to help your students practice multiplying polynomials? Printable worksheets are a great resource to reinforce this important math concept in a hands-on way.

With colorful graphics and engaging exercises, multiplying polynomials worksheets can make learning math more enjoyable for students of all ages. These worksheets are easy to download and print, making them convenient for teachers and parents alike.

multiplying polynomials worksheet

multiplying polynomials worksheet

Multiplying Polynomials Worksheet

By providing step-by-step instructions and examples, multiplying polynomials worksheets can help students build confidence in their math skills. These worksheets cover a variety of topics, from basic multiplication to more complex problems, ensuring that students stay challenged and engaged.

Whether your student is just starting to learn about multiplying polynomials or needs extra practice, printable worksheets offer a flexible and customizable way to support their learning. These worksheets can be used in the classroom, at home, or even on the go, making them a versatile educational tool.

In addition to practicing math skills, multiplying polynomials worksheets can also improve critical thinking and problem-solving abilities. By working through different types of problems, students can develop a deeper understanding of mathematical concepts and improve their overall academic performance.

Next time you’re looking for a fun and effective way to help your students master multiplying polynomials, consider using printable worksheets. With their interactive format and engaging content, these worksheets can make learning math a breeze!

Multiplying Binomials Using The Grid Method Worksheet 7th Grade PDF Worksheets

Multiplying Binomials Using The Grid Method Worksheet 7th Grade PDF Worksheets

Multiplying Polynomials Notes And Worksheets Lindsay Bowden Worksheets Library

From creative minds, multiplying polynomials worksheet offers fun activities.

With well-crafted layouts, it’s easy to keep creating every time you print.

Multiplying Polynomials Notes And Worksheets Lindsay Bowden Worksheets Library

Printable Grade 6 Multiplying Polynomials Worksheets Download

Printable Grade 6 Multiplying Polynomials Worksheets Download

Multiplying Polynomials Worksheets Printable With Answers Mashup Math

Multiplying Polynomials Worksheets Printable With Answers Mashup Math

Printable Multiplying Polynomials Worksheets

Printable Multiplying Polynomials Worksheets

Make multiplying polynomials worksheet part of your creative time and build your skills.

Be it for lesson ideas, multiplying polynomials worksheet is your printable partner. Grab, and start creating

Leave a Comment